Η αμήχανη στιγμή που η επιστήμη ανατρέπει την παρηγοριά όσων δε γεννήθηκαν εκατομμυριούχοι. Έρευνα από το αξιόπιστο επίσημο όργανο της Εθνικής Ακαδημίας Επιστημών των Η.Π.Α. καταρρίπτει τα αποτελέσματα προγενέστερων ερευνών: Το χρήμα φέρνει την ευτυχία. Εν ολίγοις, αποδεικνύει ότι υπάρχει θεμελιώδης σχέση ανάμεσα στην ανάπτυξη της ευτυχίας (του τι θεωρούμε ευημερία δηλαδή) με την αύξηση των εσόδων μας.
Στοιχεία και αποτελέσματα
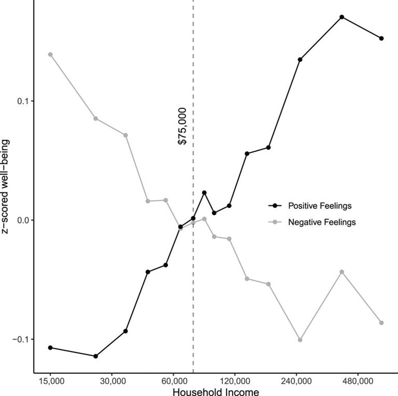
Η εν λόγω μελέτη βασίστηκε σε ένα δείγμα 33.000 ενήλικων συμμετεχόντων και συμπεριλαμβάνει 1,7 εκατ. απαντήσεις σε γκάλοπ, ώστε να βγει το τελικό συμπέρασμα. Μέχρι σήμερα υπήρχε η πεποίθηση ότι αν κάποιος ξεπερνούσε το όριο των 75.000 δολαρίων (περίπου 62.000 ευρώ) ετησίως σε εισόδημα, σταδιακά γινόταν πιο δυστυχής.
Για να καταλήξουν σε αυτό το συμπέρασμα, οι επιστήμονες διακρίνουν δύο είδη ευημερίας: τις άμεσες αισθήσεις των ανθρώπων, που ανιχνεύονται σε ορισμένες περιπτώσεις της καθημερινής τους ζωής (βιώνουν την ευημερία) και την αξιολόγηση των εκ των υστέρων εμπειριών τους, όταν κάνουμε μίνι παύσεις για να αναλογιστούμε το παρελθόν και να κρίνουμε πιο αποστασιοποιημένα τα γεγονότα (αξιολογητική ευημερία).
Λοιπόν, όσα χρήματα κι αν βγάζουμε, όσο αυξάνεται το διαθέσιμο εισόδημα, τα δύο είδη ευημερίας αυξάνονται επίσης. Θα πρέπει βέβαια να έχουμε κατά νου ότι είναι η πρώτη φορά που είναι δυνατή η συλλογή δεδομένων σε πραγματικό χρόνο και σε τόσο μεγάλο βαθμό, χάρη στα κινητά τηλέφωνα. Αυτά χρησιμοποίησαν όσοι συμμετείχαν στην έρευνα, για την ακρίβεια κατέβασαν την εφαρμογή Track Υour Ηappiness.

Το συμπέρασμα
Το γράφημα είναι αρκετά κατατοπιστικό. Όσο τα χρήματα της αμοιβής μας "αβγατίζουν", όχι μόνο τα θετικά μας συναισθήματα πολλαπλασιάζονται, αλλά τουλάχιστον μέχρι το ποσό των 250.000 δολαρίων, τα αρνητικά συναισθήματα ακολουθούν πτωτική πορεία. Προφανώς κανείς δεν πέφτει από τα σύννεφα διαβάζοντας τα αποτελέσματα της έρευνας, η πλειοψηφία το υποψιαζόταν. Τώρα έχουμε και τα επιστημονικά πειστήρια που δείχνουν ότι είχαμε δίκιο: Τα χρήματα από μόνα τους δεν είναι αρκετά, αλλά ναι, βοηθούν πολύ την ψυχολογία μας.